JANTX1N4099UR-1稳压器二极管

发布于:2024-11-13 16:16:10

品牌名称:Microsemi

重要参数:

电压:6.8V

容差:5%

功率:500mW

封装:玻璃DO-213AA

  • 产品详情

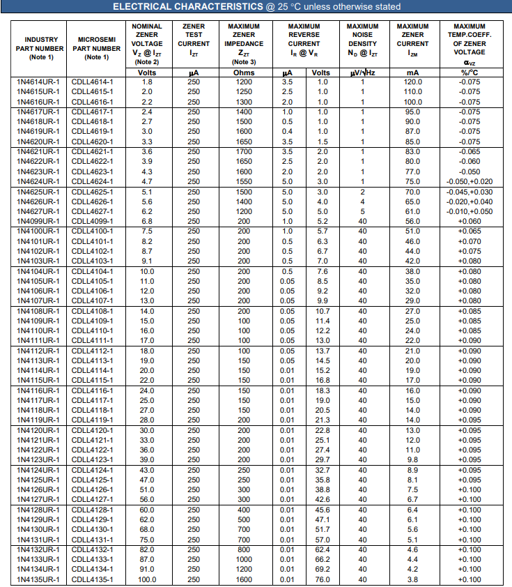
1N4099UR-1至1N4135UR-1和1N4614UR-1至1N4627UR-1系列是500毫瓦的齐纳稳压二极管,封装于轴向引线的玻璃DO-213AA中。这些稳压器提供从1.8V到100V的电压范围,具有5%、2%和1%的电压容差。它们内部采用冶金结合技术,并通过了JANS级别的军用认证,确保了在高可靠性要求的应用中的性能。

部分型号:

JANTX1N4099UR-1MSC 

JANTX1N4100-1MSC

JANTX1N4103CUR-1MSC

JANTX1N4104-1MSC

JANTX1N4104UR-1MSC

JANTX1N4105-1MSC

JANTX1N4106-1MSC

JANTX1N4106UR-1MSC

JANTX1N4108DUR-1MSC

JANTX1N4109UR-1MSC

JANTX1N4111-1MSC

JANTX1N4112-1MSC

JANTX1N4112UR-1MSC

JANTX1N4114-1MSC

JANTX1N4115-1MSC

JANTX1N4119-1MSC

JANTX1N4120-1MSC

JANTX1N4122UR-1MSC

JANTX1N4124-1MSC

JANTX1N4124UR-1MSC

JANTX1N4126-1MSC

JANTX1N4126UR-1MSC

JANTX1N4127-1MSC

JANTX1N4129-1MSC

JANTX1N4135-1MSC

JANTX1N4615-1MSC

JANTX1N4619-1MSC

JANTX1N4624-1MSC

JANTX1N4624UR-1MSC

JANTX1N4625C-1MSC

JANTX1N4626-1MSC

JANTX1N4626UR-1MSC

JANTX1N4627-1MSC

产品特点包括:

- JEDEC标准注册的1N4099至1N4135和1N4614至1N4627系列。

- 内部冶金结合结构。

- 在6.8V及以上电压时,最大噪声密度为40 μV/√Hz,并在较低电压时迅速降至1 μV/√Hz。

- 提供JAN、JANTX、JANTXV和JANS级别的认证,符合MIL-PRF-19500/435标准。

- 提供符合RoHS标准的商业级版本。

- 灵活的轴向引线安装端子,便于安装。

- 能够在广泛的电流和温度范围内稳定电压。

- 提供从1.8V到100V的广泛电压选择。

- 电压容差选项包括5%(标准)、2%和1%。

- 密封的表面贴装封装,提高了产品的可靠性。

- 根据MIL-STD-750方法1020,对静电放电(ESD)不敏感。

image.png

在线留言

在线留言